Официальное опубликование правовых актов
ОФИЦИАЛЬНОЕ ОПУБЛИКОВАНИЕ
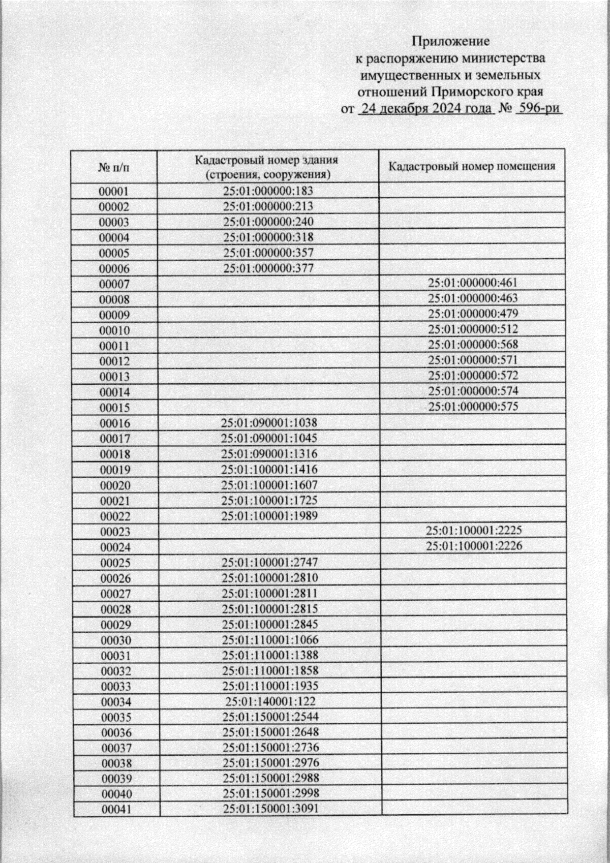
Распоряжение Министерства имущественных и земельных отношений Приморского края от 24.12.2024 № 596-ри
"Об утверждении Перечня объектов недвижимого имущества, в отношении которых налоговая база определяется как кадастровая стоимость, на 2025 год"
(Зарегистрирован 24.12.2024 № 2015)
Номер опубликования: 2501202412250012
Дата опубликования: 25.12.2024
Страница №4 из 234:
Увеличить