Официальное опубликование правовых актов
ОФИЦИАЛЬНОЕ ОПУБЛИКОВАНИЕ
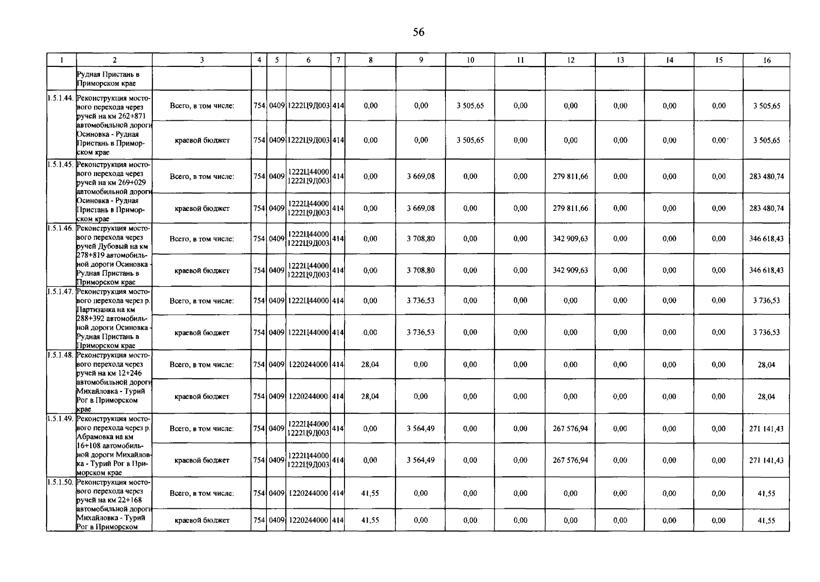
Постановление Правительства Приморского края от 09.04.2025 № 315-пп
"О внесении изменений в постановление Администрации Приморского края от 27 декабря 2019 года № 919-па "Об утверждении государственной программы Приморского края "Развитие транспортного комплекса Приморского края"
Номер опубликования: 2501202504100003
Дата опубликования: 10.04.2025
Страница №59 из 89:
Увеличить