Официальное опубликование правовых актов
ОФИЦИАЛЬНОЕ ОПУБЛИКОВАНИЕ
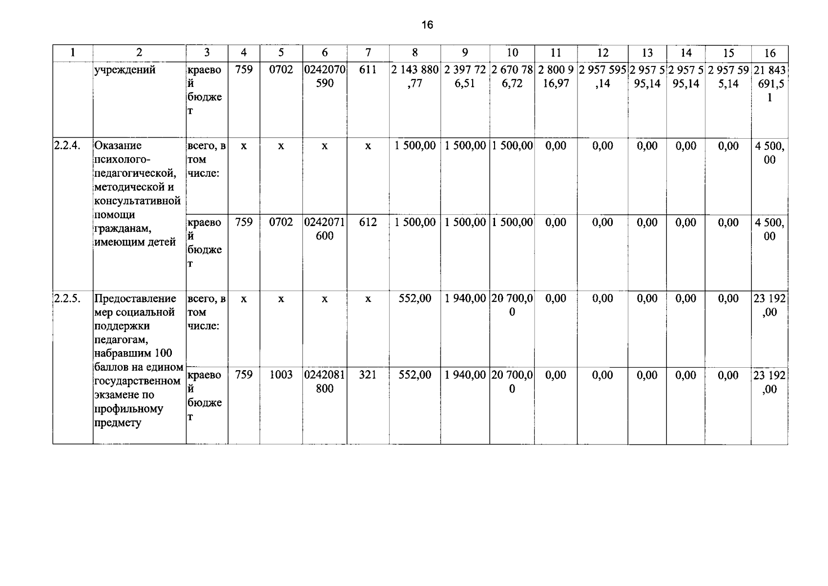
Постановление Правительства Приморского края от 15.05.2025 № 419-пп
"О внесении изменений в постановление Администрации Приморского края от 16 декабря 2019 года № 848-па "Об утверждении государственной программы Приморского края "Развитие образования Приморского края"
Номер опубликования: 2501202505190003
Дата опубликования: 19.05.2025
Страница №110 из 205:
Увеличить