Официальное опубликование правовых актов
ОФИЦИАЛЬНОЕ ОПУБЛИКОВАНИЕ
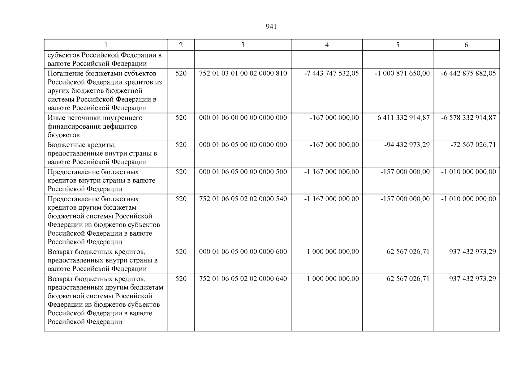
Распоряжение Правительства Приморского края от 04.08.2025 № 476-рп
"Об утверждении отчёта об исполнении краевого бюджета за первое полугодие 2025 года"
Номер опубликования: 2501202508070002
Дата опубликования: 07.08.2025
Страница №942 из 944:
Увеличить