Официальное опубликование правовых актов
ОФИЦИАЛЬНОЕ ОПУБЛИКОВАНИЕ
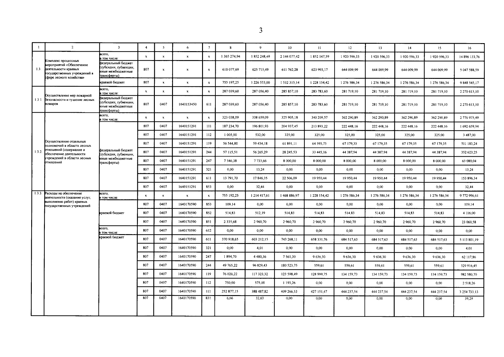
Постановление Правительства Приморского края от 29.08.2025 № 689-пп
"О внесении изменений в постановление Администрации Приморского края от 27 августа 2019 года № 558-па "Об утверждении государственной программы Приморского края "Развитие лесного хозяйства в Приморском крае"
Номер опубликования: 2501202509020001
Дата опубликования: 02.09.2025
Страница №9 из 12:
Увеличить