Официальное опубликование правовых актов
ОФИЦИАЛЬНОЕ ОПУБЛИКОВАНИЕ
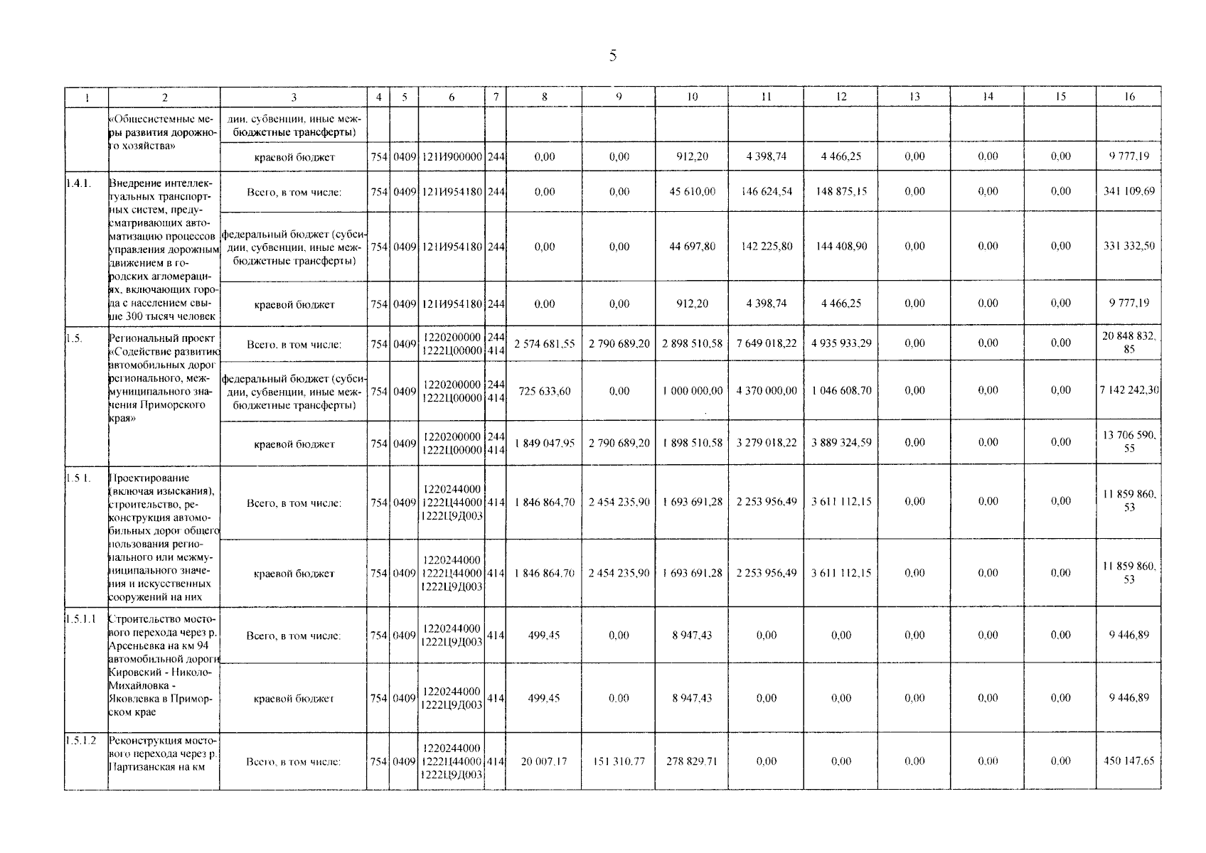
Постановление Правительства Приморского края от 28.08.2025 № 683-пп
"О внесении изменений в постановление Администрации Приморского края от 27 декабря 2019 года № 919-па "Об утверждении государственной программы Приморского края "Развитие транспортного комплекса Приморского края"
Номер опубликования: 2501202509020012
Дата опубликования: 02.09.2025
Страница №8 из 34:
Увеличить