Официальное опубликование правовых актов
ОФИЦИАЛЬНОЕ ОПУБЛИКОВАНИЕ
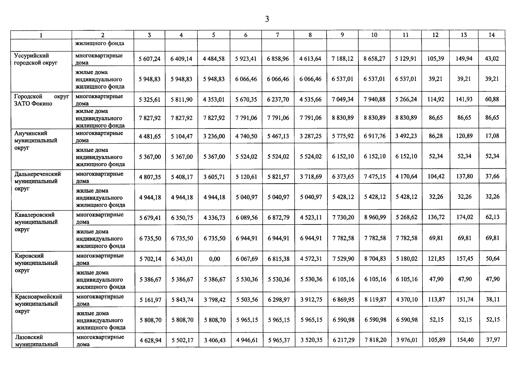
Постановление Правительства Приморского края от 04.09.2025 № 697-пп
"О внесении изменений в постановление Правительства Приморского края от 16 мая 2025 года № 422-пп "О региональных стандартах стоимости жилищно-коммунальных услуг на 2025 год"
Номер опубликования: 2501202509090001
Дата опубликования: 09.09.2025
Страница №15 из 18:
Увеличить