Официальное опубликование правовых актов
ОФИЦИАЛЬНОЕ ОПУБЛИКОВАНИЕ
Приказ Министерства лесного хозяйства, охраны окружающей среды, животного мира и природных ресурсов Приморского края от 16.09.2025 № 900
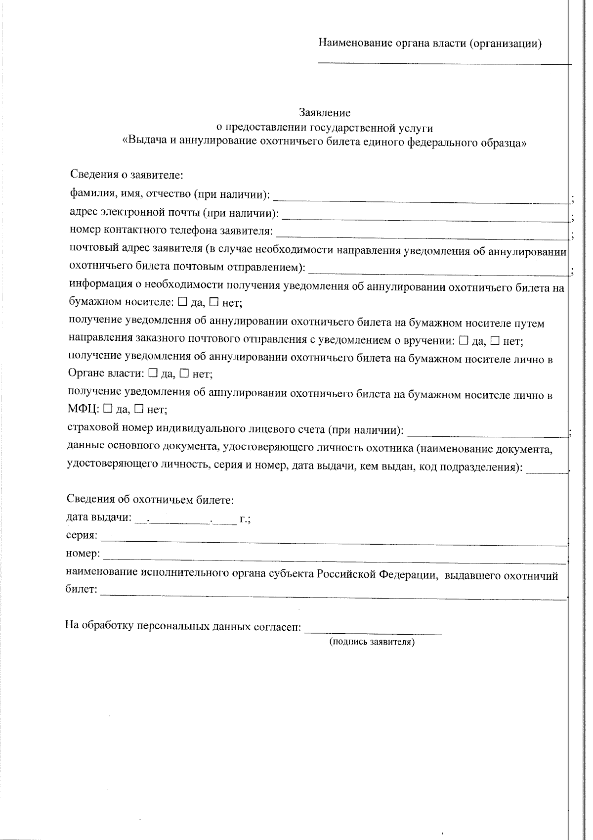
"Об утверждении административного регламента министерства лесного хозяйства, охраны окружающей среды, животного мира и природных ресурсов Приморского края по предоставлению государственной услуги "Выдача и аннулирование охотничьего билета единого федерального образца"
(Зарегистрирован 16.09.2025 № 2479)
Номер опубликования: 2501202509170010
Дата опубликования: 17.09.2025
Страница №21 из 24:
Увеличить