Официальное опубликование правовых актов
ОФИЦИАЛЬНОЕ ОПУБЛИКОВАНИЕ
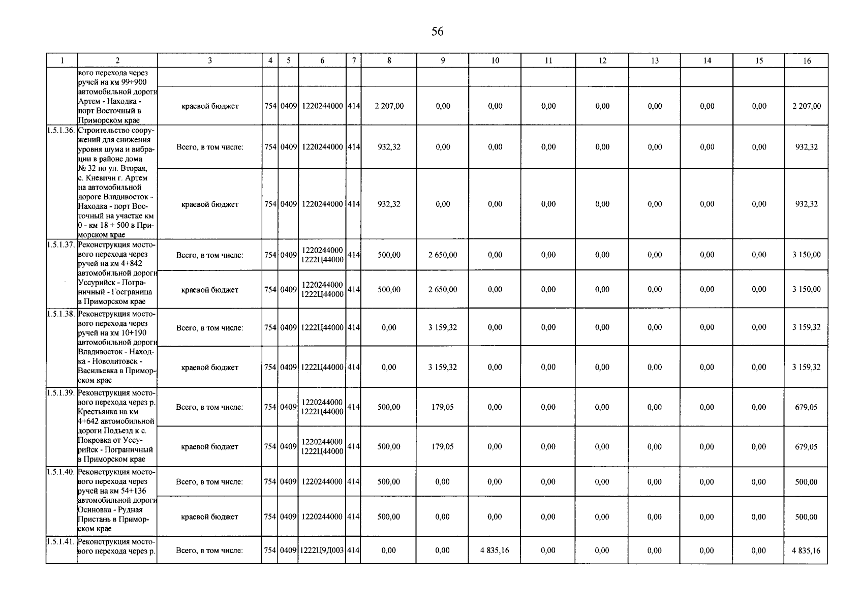
Постановление Правительства Приморского края от 28.10.2025 № 793-пп
"О внесении изменений в постановление Администрации Приморского края от 27 декабря 2019 года № 919-па "Об утверждении государственной программы Приморского края "Развитие транспортного комплекса Приморского края"
Номер опубликования: 2501202510300005
Дата опубликования: 30.10.2025
Страница №58 из 79:
Увеличить