Официальное опубликование правовых актов
ОФИЦИАЛЬНОЕ ОПУБЛИКОВАНИЕ
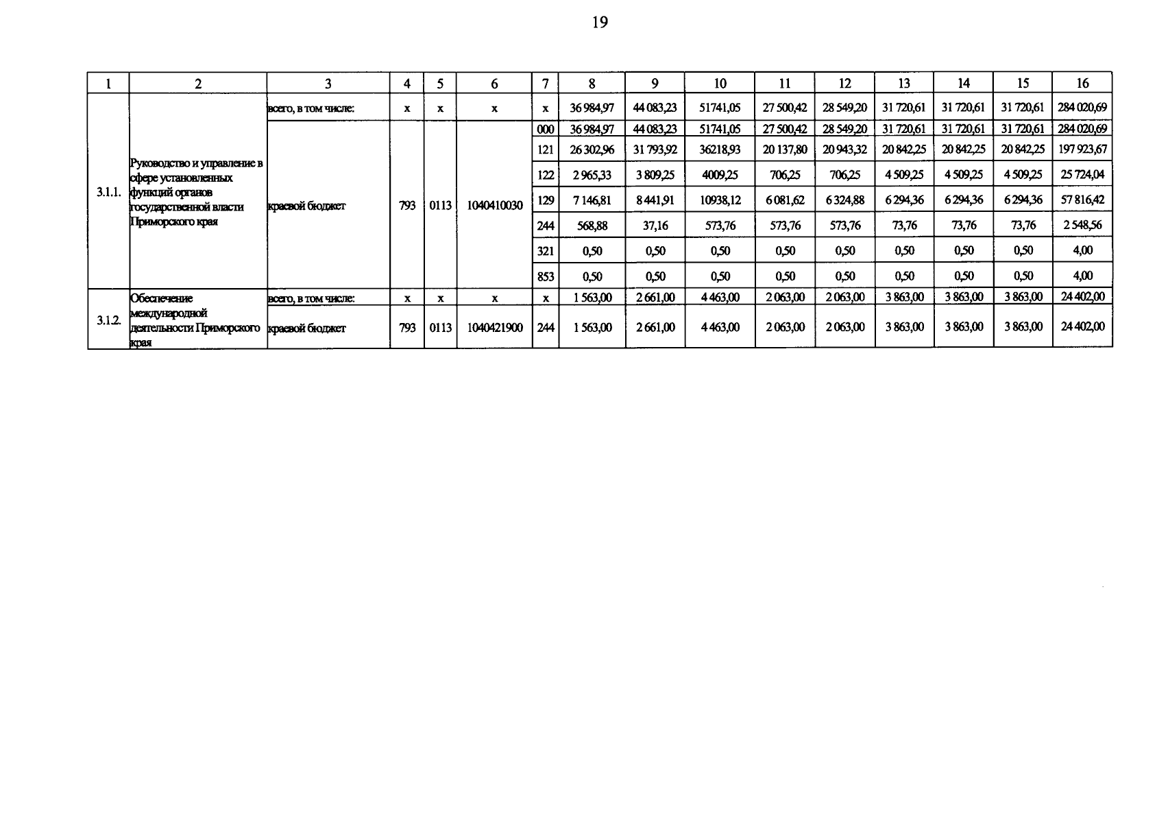
Постановление Правительства Приморского края от 18.11.2025 № 842-пп
"О внесении изменений в постановление Администрации Приморского края от 25 декабря 2019 года № 903-па "Об утверждении государственной программы Приморского края "Развитие туризма в Приморском крае"
Номер опубликования: 2501202511210005
Дата опубликования: 21.11.2025
Страница №22 из 22:
Увеличить