Официальное опубликование правовых актов
ОФИЦИАЛЬНОЕ ОПУБЛИКОВАНИЕ
Постановление Агентства по тарифам Приморского края от 10.12.2025 № 61/7
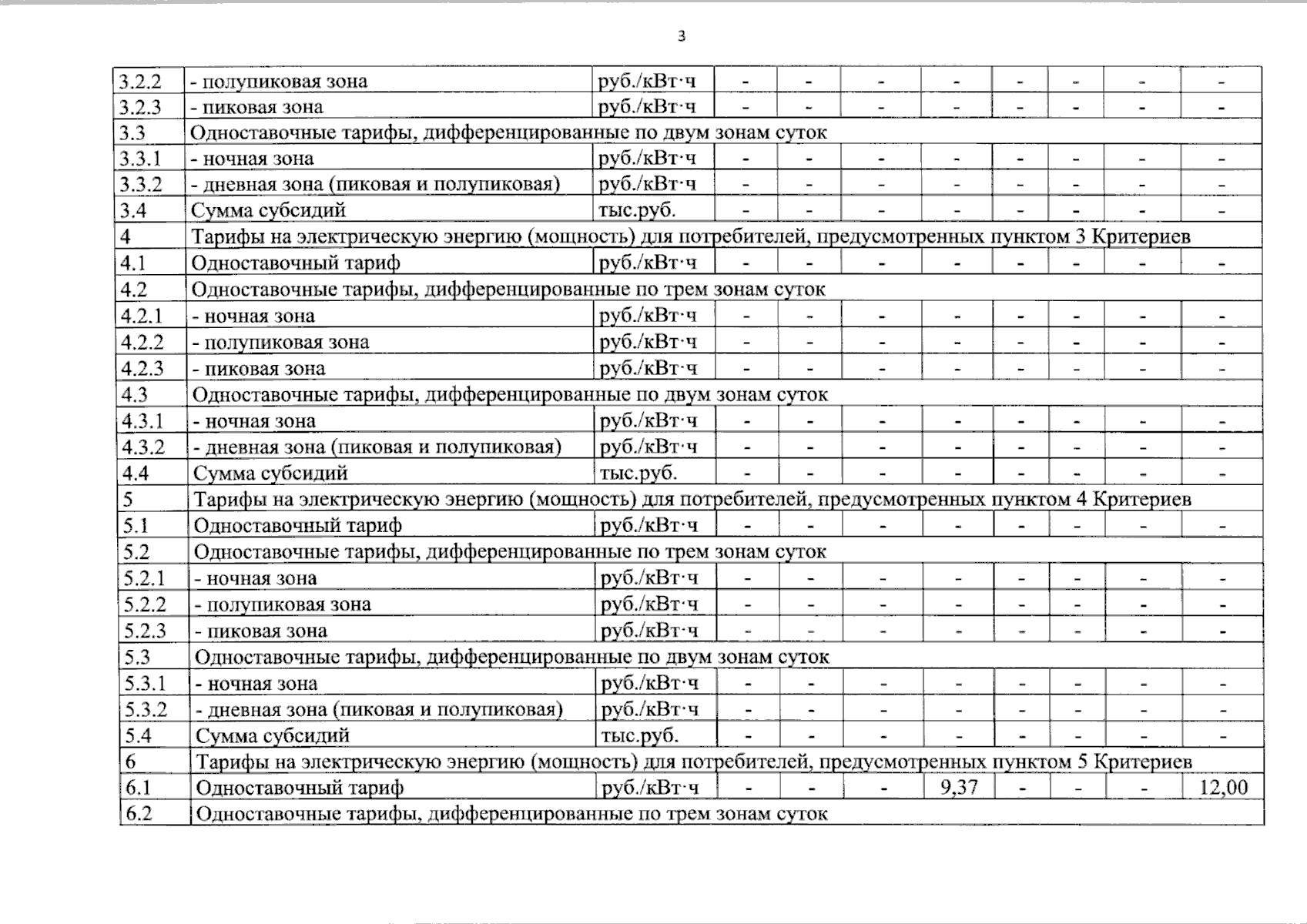
"О внесении изменений в постановление агентства по тарифам Приморского края от 14 декабря 2023 года № 68/19 "Об установлении цен (тарифов) на электрическую энергию (мощность), поставляемую ООО "Норд Прим" (гарантирующий поставщик) покупателям пгт Светлая, с. Самарга, с. Агзу, с. Единка, с. Перетычиха Тернейского муниципального округа Приморского края на розничных рынках, расположенных на территориях, технологически не связанных с Единой энергетической системой России и технологически изолированными территориальными электроэнергетическими системами, за исключением населения и (или) приравненных к нему категорий потребителей"
(Зарегистрирован 16.12.2025 № 2884)
Номер опубликования: 2501202512170078
Дата опубликования: 17.12.2025
Страница №5 из 74:
Увеличить