Постановление Агентства по тарифам Приморского края от 10.12.2025 № 61/1
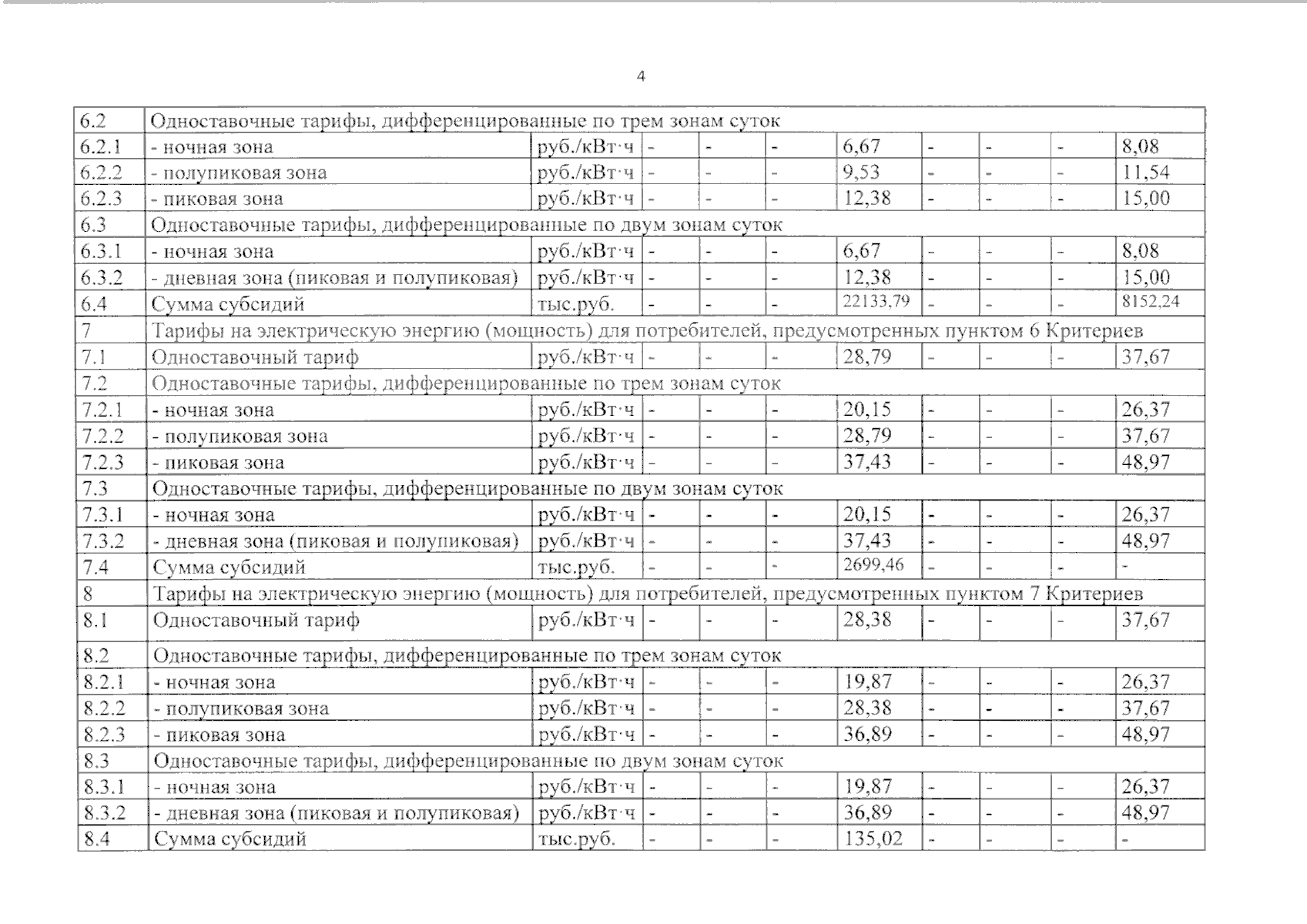
"О внесении изменений в постановление агентства по тарифам Приморского края от 25 ноября 2022 года № 65/7 "Об установлении цен (тарифов) на электрическую энергию (мощность), поставляемую КГУП "Примтеплоэнерго" (гарантирующий поставщик) покупателям Тернейского муниципального округа Приморского края на розничных рынках, расположенных на территориях, технологически не связанных с Единой энергетической системой России и технологически изолированными территориальными электроэнергетическими системами, за исключением населения и (или) приравненных к нему категорий потребителей"
(Зарегистрирован 16.12.2025 № 2855)
"О внесении изменений в постановление агентства по тарифам Приморского края от 25 ноября 2022 года № 65/7 "Об установлении цен (тарифов) на электрическую энергию (мощность), поставляемую КГУП "Примтеплоэнерго" (гарантирующий поставщик) покупателям Тернейского муниципального округа Приморского края на розничных рынках, расположенных на территориях, технологически не связанных с Единой энергетической системой России и технологически изолированными территориальными электроэнергетическими системами, за исключением населения и (или) приравненных к нему категорий потребителей"
(Зарегистрирован 16.12.2025 № 2855)
Номер опубликования: 2501202512170088
Дата опубликования:
17.12.2025
