Официальное опубликование правовых актов
ОФИЦИАЛЬНОЕ ОПУБЛИКОВАНИЕ
Постановление Агентства по тарифам Приморского края от 18.12.2025 № 64/4
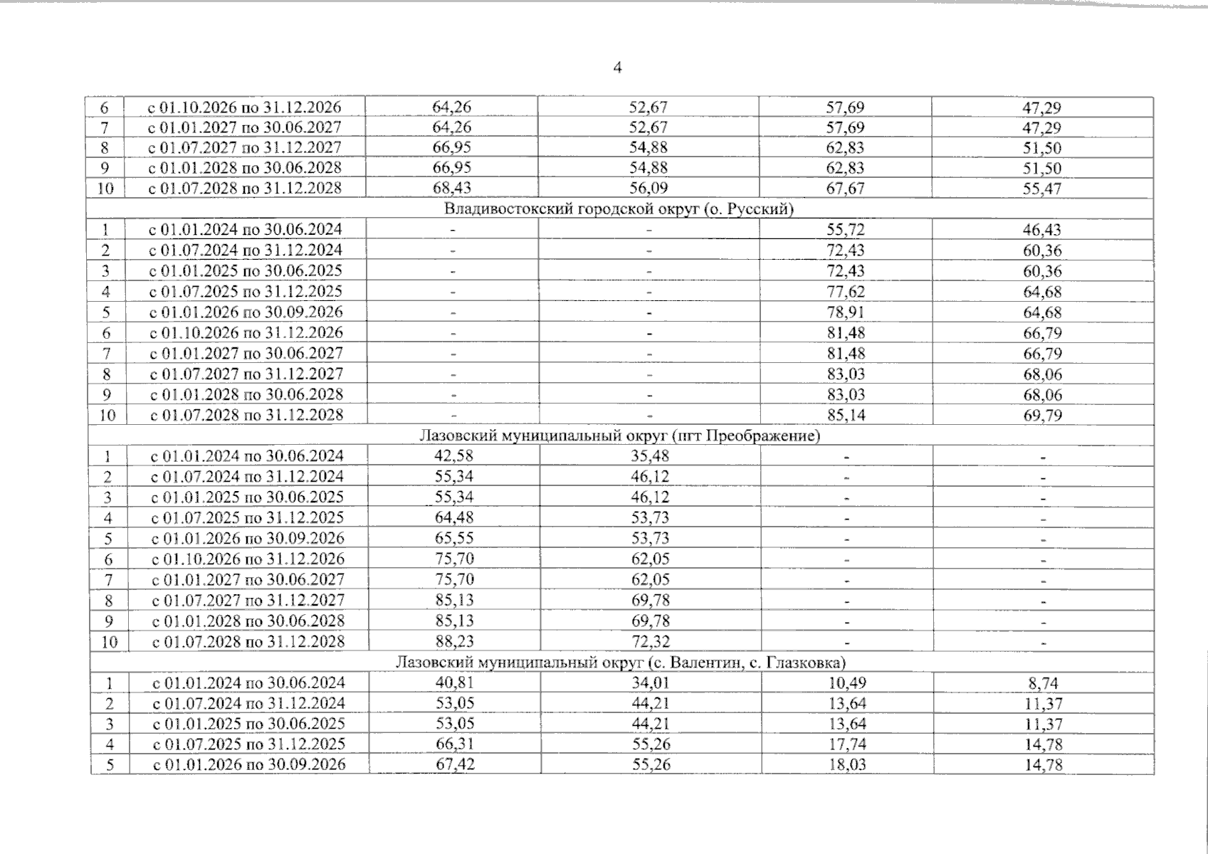
"О внесении изменений в постановление агентства по тарифам от 19 декабря 2023 года № 70/10 "Об утверждении производственных программ и об установлении долгосрочных параметров регулирования и тарифов на питьевую воду и водоотведение для потребителей краевого государственного унитарного предприятия "Приморский водоканал", находящихся на территориях муниципальных образований Приморского края"
(Зарегистрирован 23.12.2025 № 2917)
Номер опубликования: 2501202512260006
Дата опубликования: 26.12.2025
Страница №131 из 133:
Увеличить