Официальное опубликование правовых актов
ОФИЦИАЛЬНОЕ ОПУБЛИКОВАНИЕ
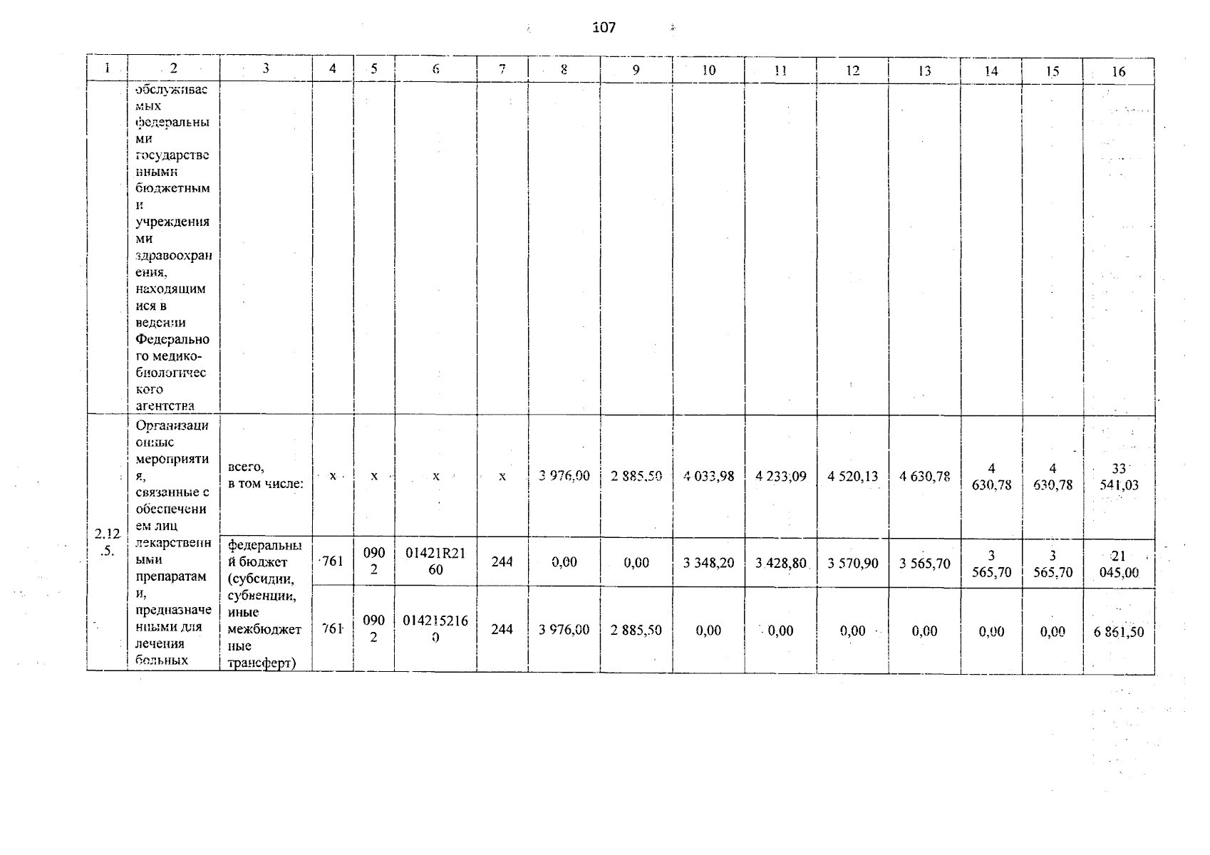
Постановление Правительства Приморского края от 29.12.2025 № 1013-пп
"О внесении изменений в постановление Администрации Приморского края от 27 декабря 2019 года № 932-па "Об утверждении государственной программы Приморского края "Развитие здравоохранения Приморского края"
Номер опубликования: 2501202601030002
Дата опубликования: 03.01.2026
Страница №109 из 152:
Увеличить