Официальное опубликование правовых актов
ОФИЦИАЛЬНОЕ ОПУБЛИКОВАНИЕ
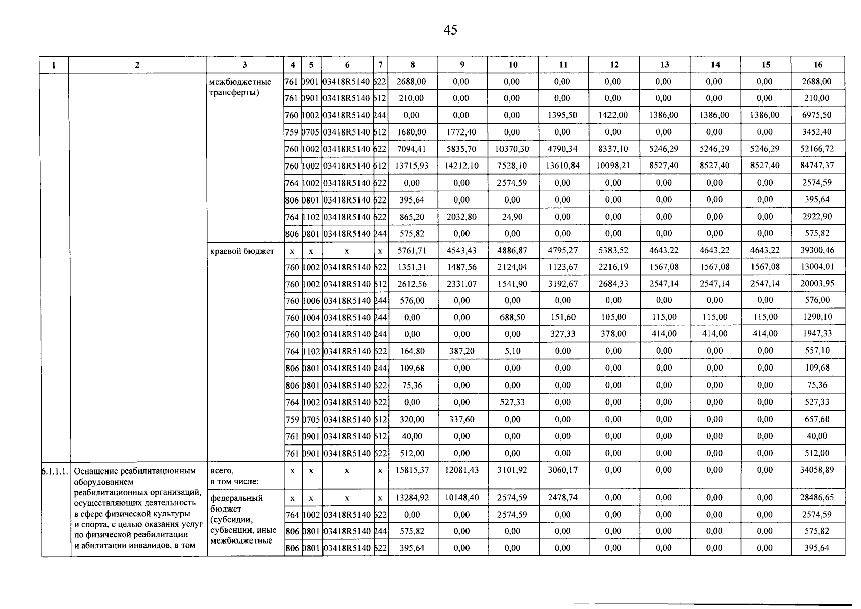
Постановление Правительства Приморского края от 21.01.2026 № 16-пп
"О внесении изменений в постановление Администрации Приморского края от 27 декабря 2019 года № 918-па "Об утверждении государственной программы Приморского края "Социальная поддержка населения Приморского края"
Номер опубликования: 2501202601210010
Дата опубликования: 21.01.2026
Страница №78 из 91:
Увеличить