Официальное опубликование правовых актов
ОФИЦИАЛЬНОЕ ОПУБЛИКОВАНИЕ
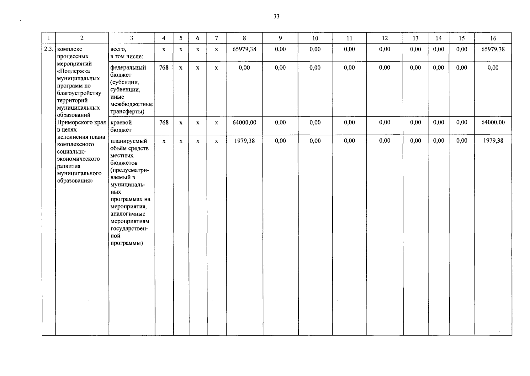
Постановление Правительства Приморского края от 28.01.2026 № 58-пп
"О внесении изменений в постановление Администрации Приморского края от 30 декабря 2019 года № 944-па "Об утверждении государственной программы Приморского края "Формирование современной городской среды муниципальных образований Приморского края"
Номер опубликования: 2501202601300002
Дата опубликования: 30.01.2026
Страница №35 из 43:
Увеличить