Официальное опубликование правовых актов
ОФИЦИАЛЬНОЕ ОПУБЛИКОВАНИЕ
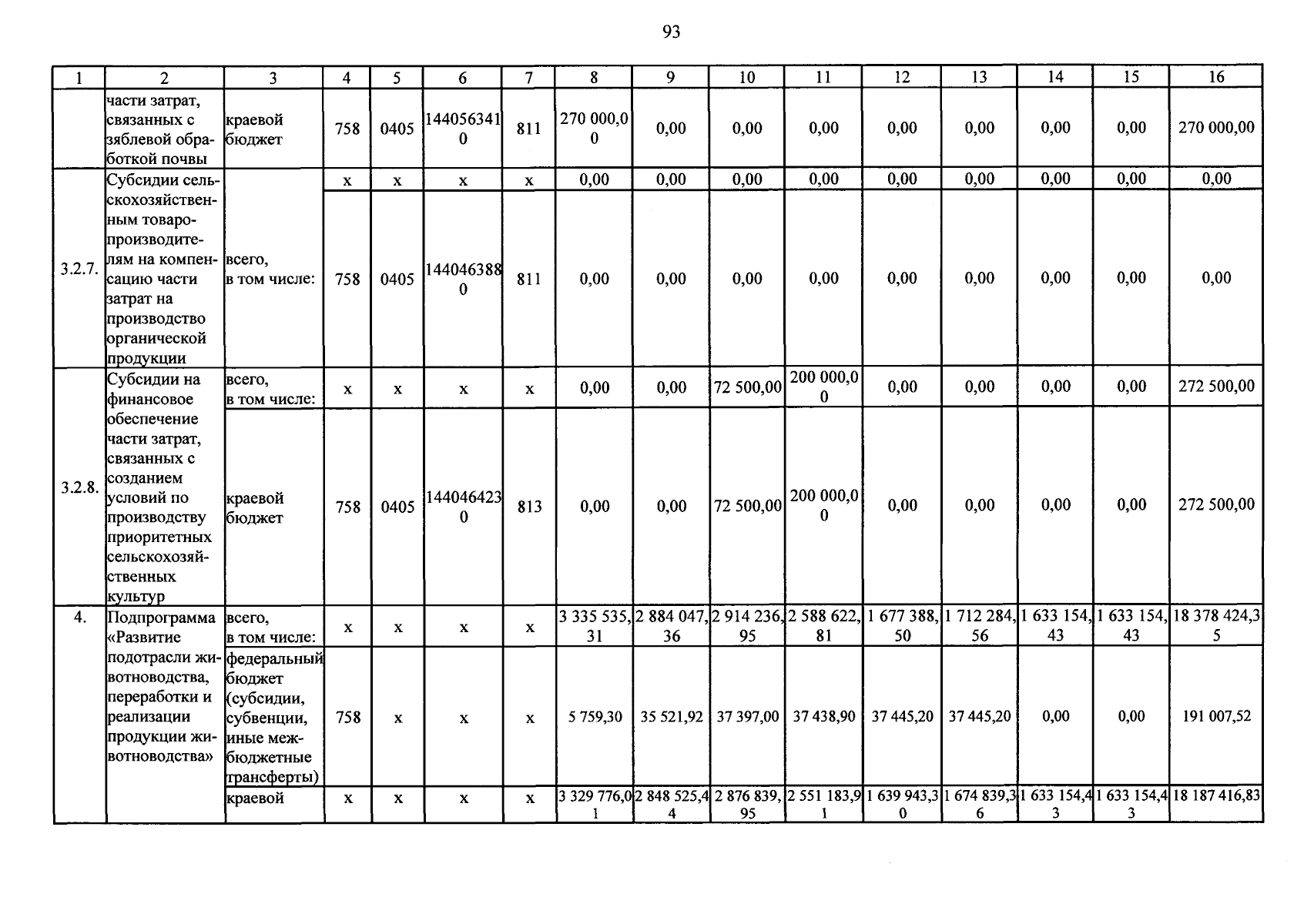
Постановление Правительства Приморского края от 28.01.2026 № 64-пп
"О внесении изменений в постановление Администрации Приморского края от 27 декабря 2019 года № 933-па "Об утверждении государственной программы Приморского края "Развитие сельского хозяйства и регулирование рынков сельскохозяйственной продукции, сырья и продовольствия"
Номер опубликования: 2501202601300008
Дата опубликования: 30.01.2026
Страница №123 из 189:
Увеличить