Официальное опубликование правовых актов
ОФИЦИАЛЬНОЕ ОПУБЛИКОВАНИЕ
Постановление Правительства Приморского края от 28.01.2026 № 57-пп
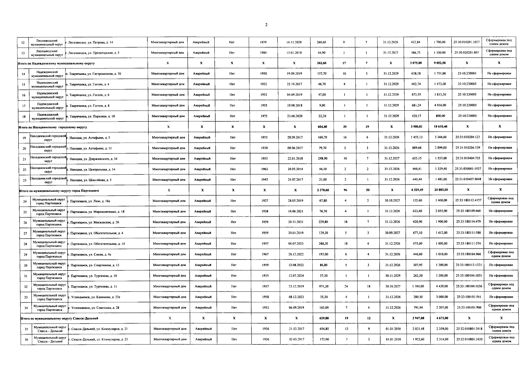
"О внесении изменений в постановление Правительства Приморского края от 28 августа 2025 года № 686-пп "Об утверждении региональной адресной программы "Переселение граждан из аварийного жилищного фонда в Приморском крае" на 2025-2026 годы"
Номер опубликования: 2501202602020003
Дата опубликования: 02.02.2026
Страница №5 из 13:
Увеличить