Официальное опубликование правовых актов
ОФИЦИАЛЬНОЕ ОПУБЛИКОВАНИЕ
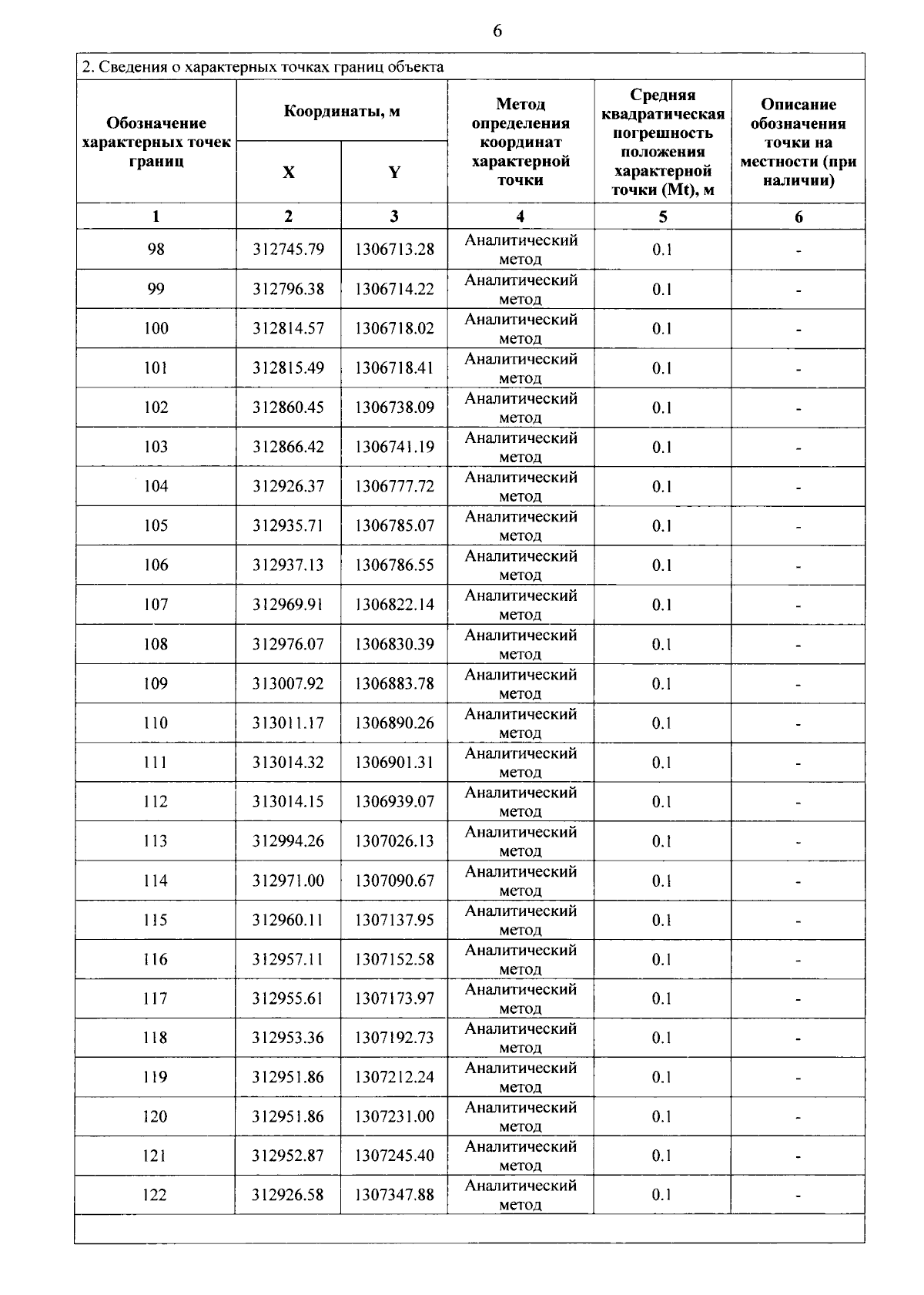
Постановление Правительства Приморского края от 12.02.2026 № 106-пп
"Об округе горно-санитарной охраны месторождения лечебных грязей "Бухта Экспедиции", расположенного в пределах лечебно-оздоровительной местности регионального значения "Ясное" Приморского края"
Номер опубликования: 2501202602130020
Дата опубликования: 13.02.2026
Страница №10 из 52:
Увеличить