Официальное опубликование правовых актов
ОФИЦИАЛЬНОЕ ОПУБЛИКОВАНИЕ
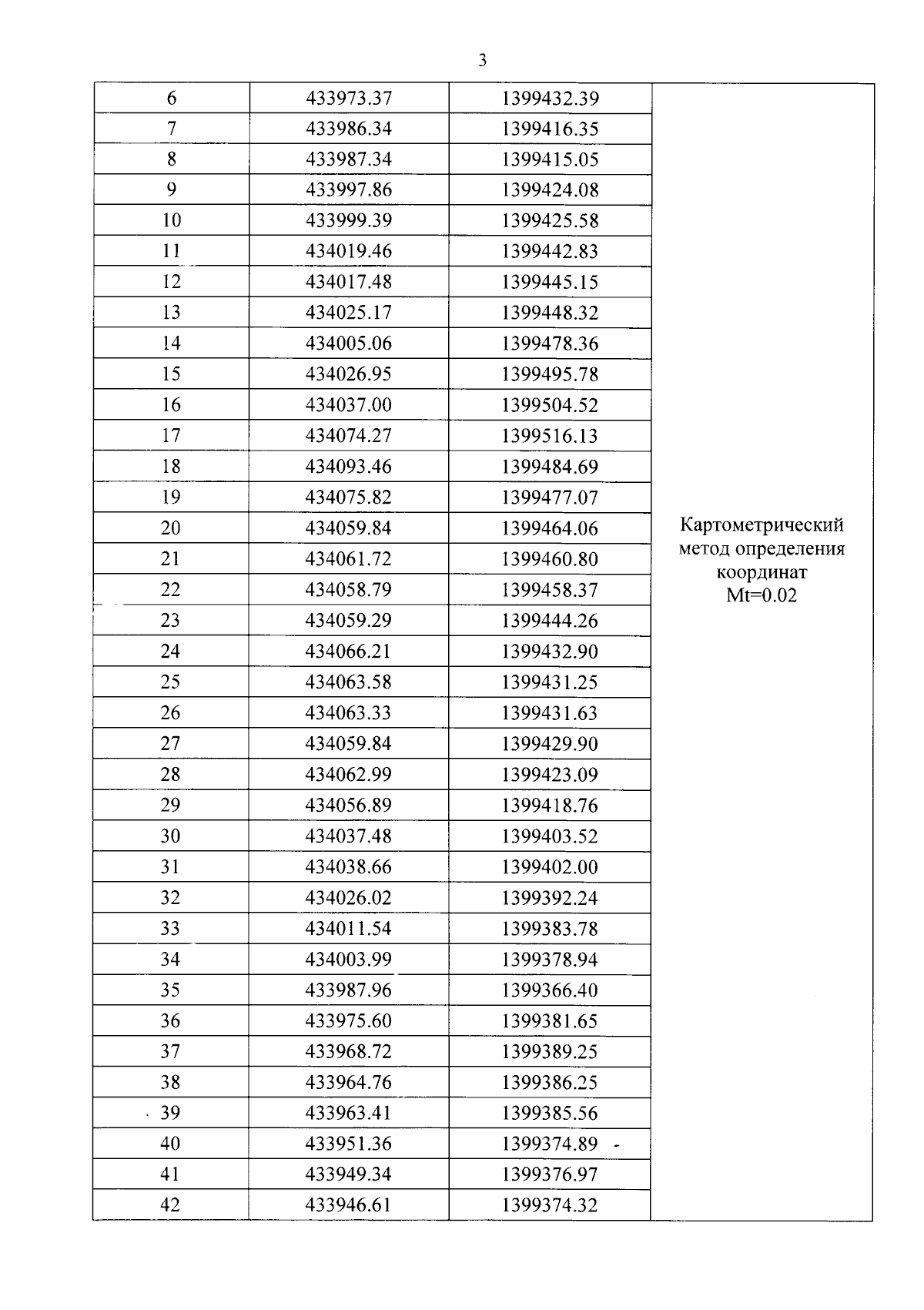
Постановление Правительства Приморского края от 17.02.2026 № 125-пп
"Об установлении зон охраны объекта культурного наследия (памятника истории и культуры) народов Российской Федерации регионального значения "Жилой особняк военного ведомства (дом генерала)", 1903 год, утверждении требований к градостроительным регламентам в границах территорий данных зон"
Номер опубликования: 2501202602190016
Дата опубликования: 19.02.2026
Страница №5 из 18:
Увеличить