Официальное опубликование правовых актов
ОФИЦИАЛЬНОЕ ОПУБЛИКОВАНИЕ
Постановление Правительства Приморского края от 04.03.2026 № 174-пп
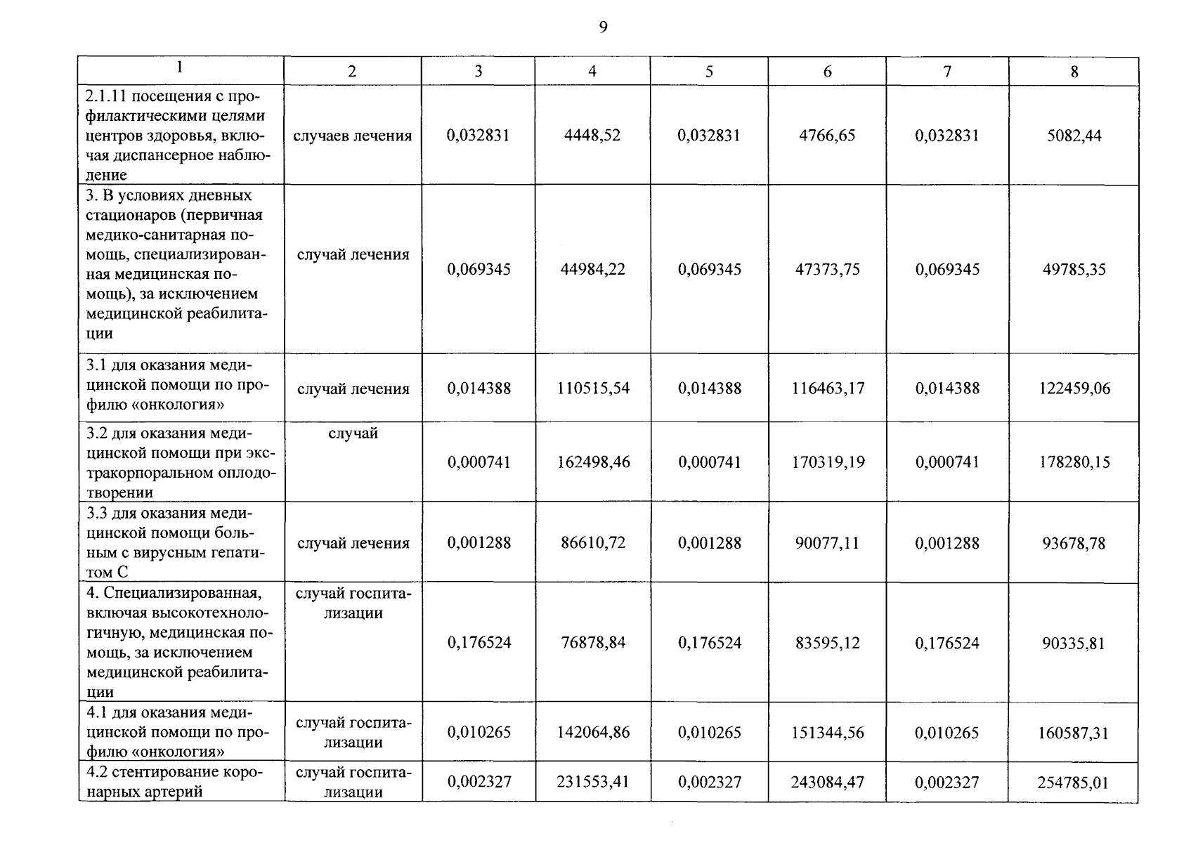
"О внесении изменений в постановление Правительства Приморского края от 29 декабря 2025 года № 1007-пп "О территориальной программе государственных гарантий бесплатного оказания гражданам медицинской помощи в Приморском крае на 2026 год и на плановый период 2027 и 2028 годов"
Номер опубликования: 2501202603050002
Дата опубликования: 05.03.2026
Страница №347 из 349:
Увеличить