Официальное опубликование правовых актов
ОФИЦИАЛЬНОЕ ОПУБЛИКОВАНИЕ
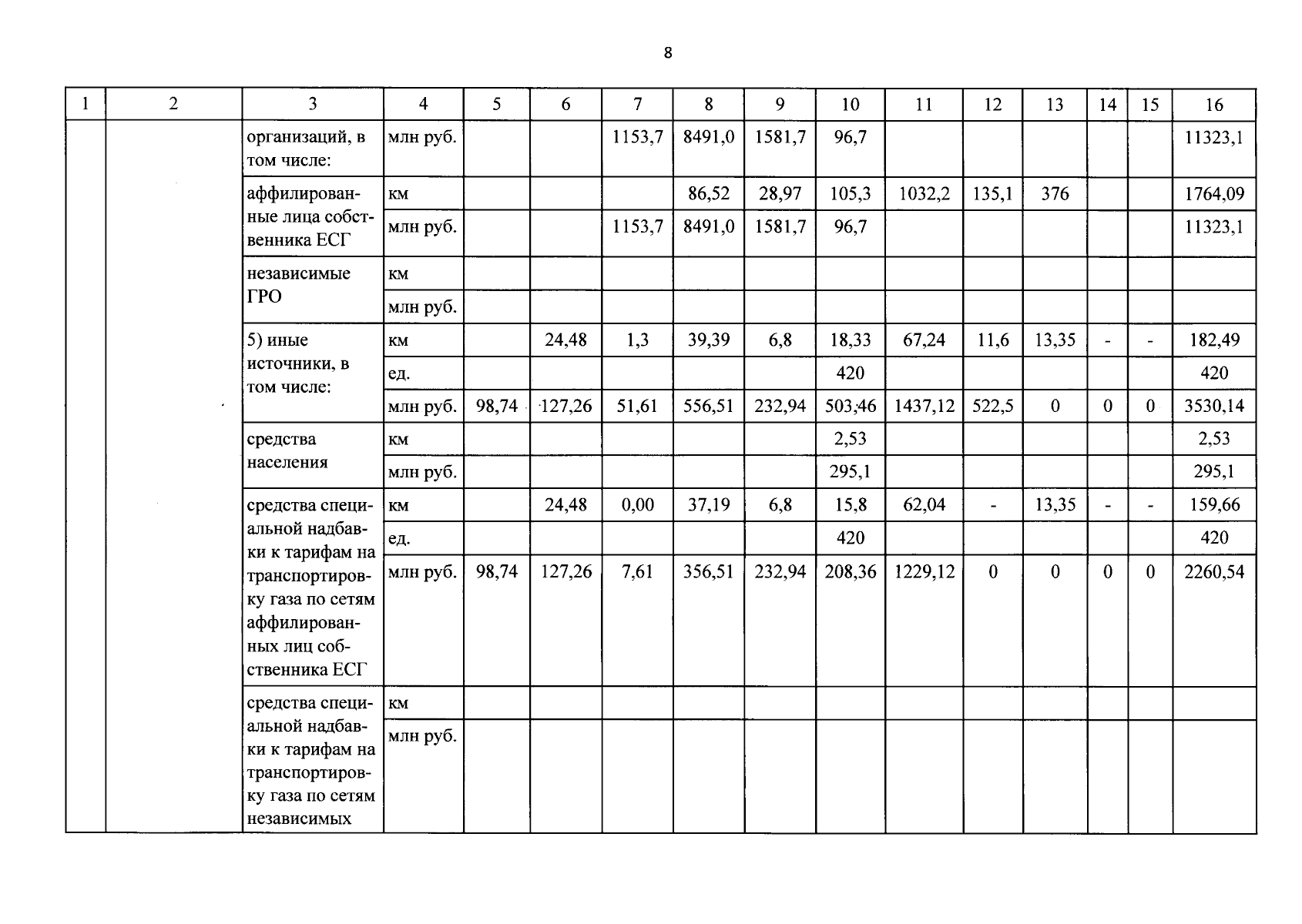
Постановление Правительства Приморского края от 03.04.2026 № 259-пп
"О внесении изменений в постановление Правительства Приморского края от 05 октября 2022 года № 676-пп "Об утверждении региональной программы "Газификация жилищно-коммунального хозяйства, промышленных и иных организаций Приморского края на 2020 - 2030 годы"
Номер опубликования: 2501202604080008
Дата опубликования: 08.04.2026
Страница №16 из 21:
Увеличить