Официальное опубликование правовых актов
ОФИЦИАЛЬНОЕ ОПУБЛИКОВАНИЕ
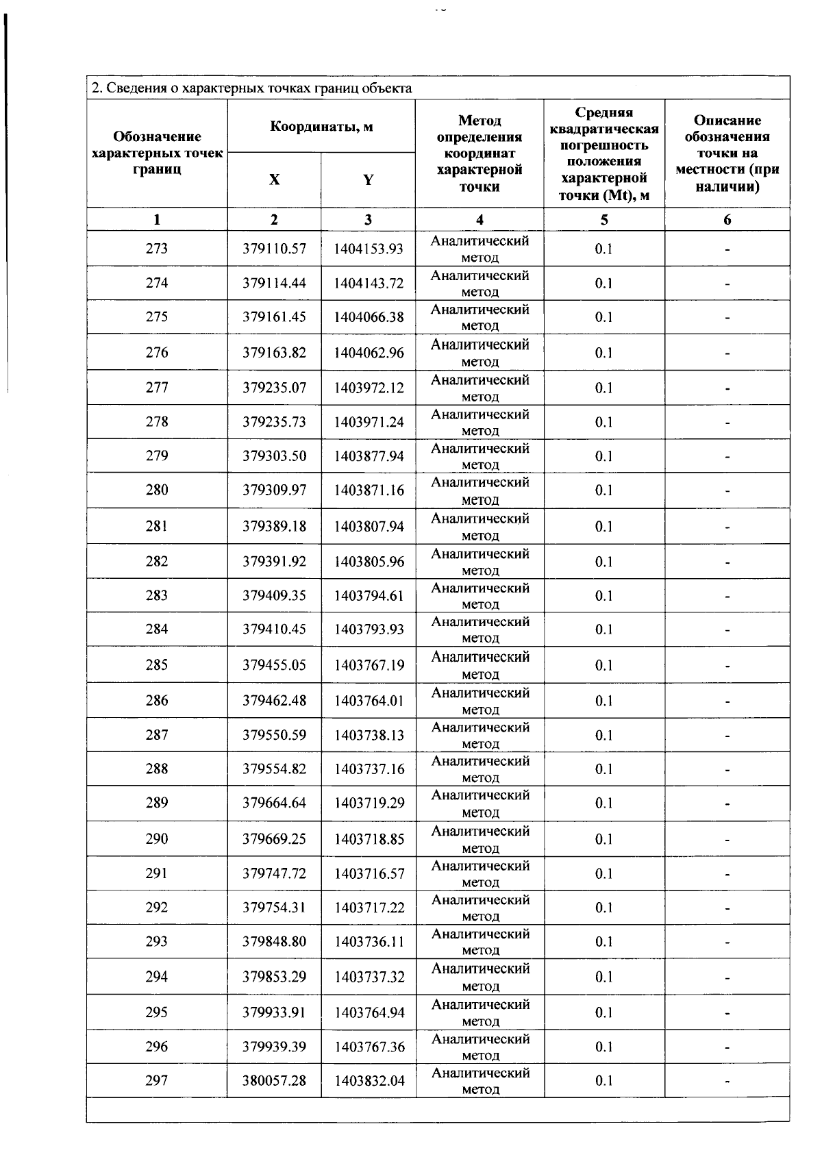
Постановление Правительства Приморского края от 03.04.2026 № 257-пп
"Об округе горно-санитарной охраны месторождения лечебных грязей "Залив Угловой", расположенного в пределах курорта регионального значения "Курортная зона города Владивостока на побережье Амурского залива" Приморского края"
Номер опубликования: 2501202604080009
Дата опубликования: 08.04.2026
Страница №49 из 54:
Увеличить