Официальное опубликование правовых актов
ОФИЦИАЛЬНОЕ ОПУБЛИКОВАНИЕ
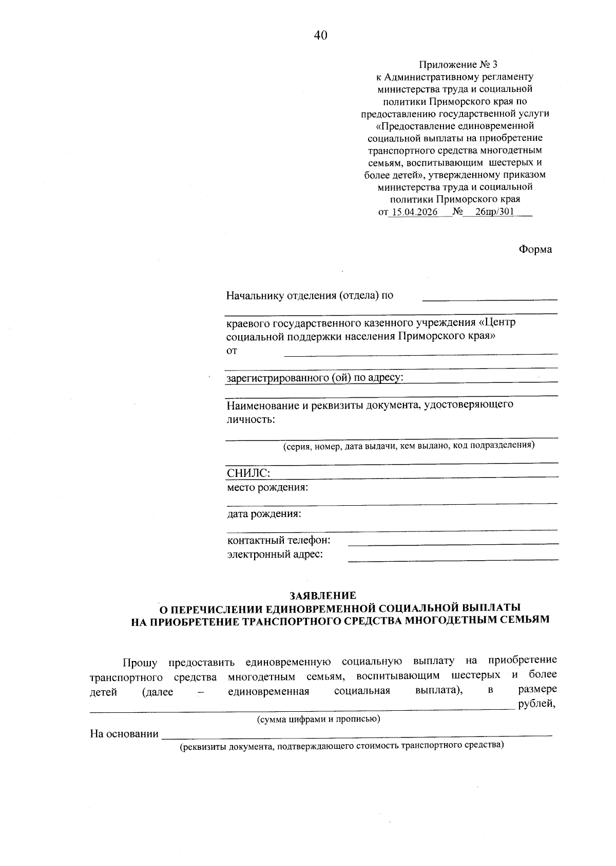
Приказ Министерства труда и социальной политики Приморского края от 15.04.2026 № 26пр/301
"О внесении изменений в приказ министерства труда и социальной политики Приморского края от 18 августа 2020 года № 518 "Об утверждении административного регламента министерства труда и социальной политики Приморского края по предоставлению государственной услуги "Предоставление единовременной социальной выплаты на приобретение транспортного средства многодетным семьям, воспитывающим шестерых и более детей"
(Зарегистрирован 16.04.2026 № 3252)
Номер опубликования: 2501202604170001
Дата опубликования: 17.04.2026
Страница №42 из 50:
Увеличить