Официальное опубликование правовых актов
ОФИЦИАЛЬНОЕ ОПУБЛИКОВАНИЕ
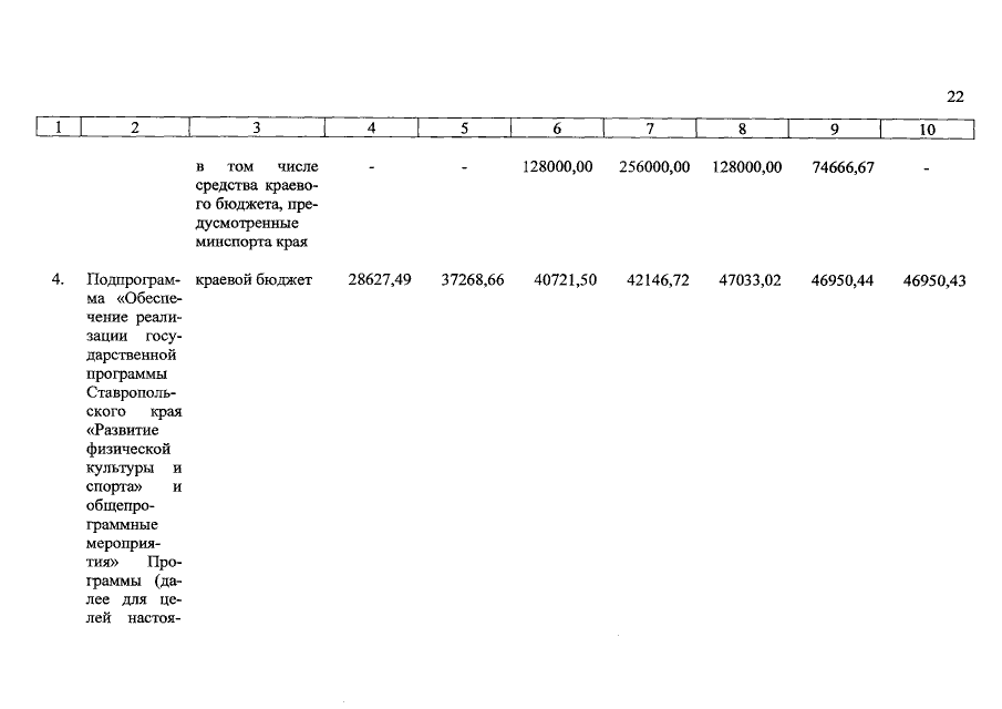
Постановление Правительства Ставропольского края от 30.11.2022 № 715-п
"О внесении изменений в государственную программу Ставропольского края "Развитие физической культуры и спорта", утвержденную постановлением Правительства Ставропольского края от 28 декабря 2018 г. № 619-п"
Номер опубликования: 2600202212020002
Дата опубликования: 02.12.2022
Страница №57 из 59:
Увеличить