Официальное опубликование правовых актов
ОФИЦИАЛЬНОЕ ОПУБЛИКОВАНИЕ
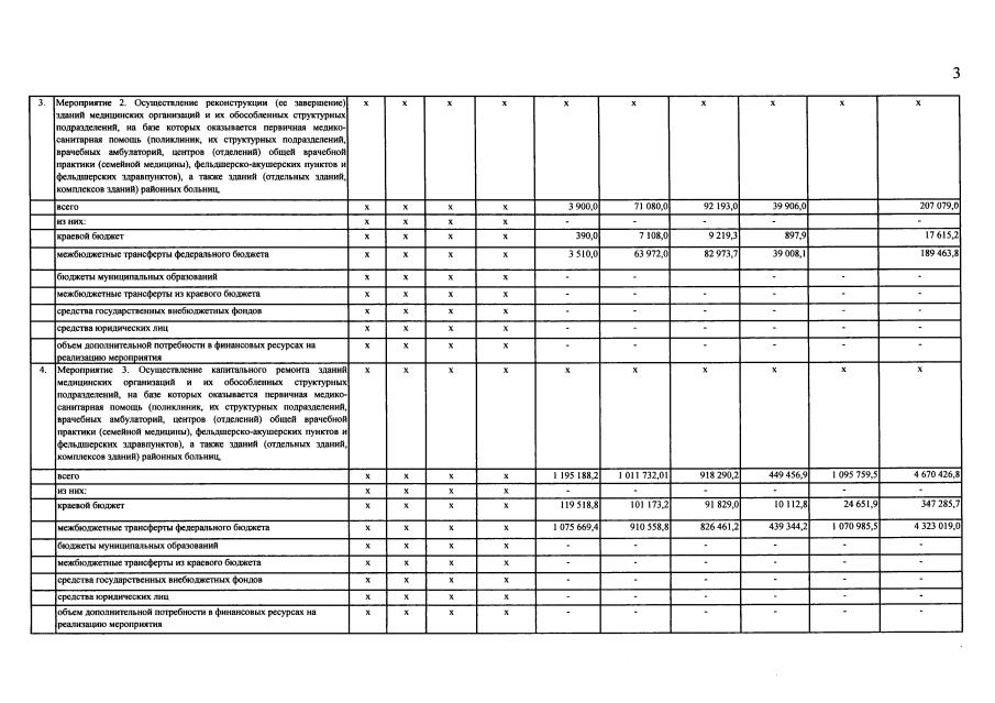
Постановление Правительства Ставропольского края от 06.12.2022 № 720-п
"О внесении изменений в краевую программу "Программа модернизации первичного звена здравоохранения в Ставропольском крае", утвержденную постановлением Правительства Ставропольского края от 14 декабря 2020 г. № 671-п"
Номер опубликования: 2600202212080007
Дата опубликования: 08.12.2022
Страница №5 из 90:
Увеличить