Официальное опубликование правовых актов
ОФИЦИАЛЬНОЕ ОПУБЛИКОВАНИЕ
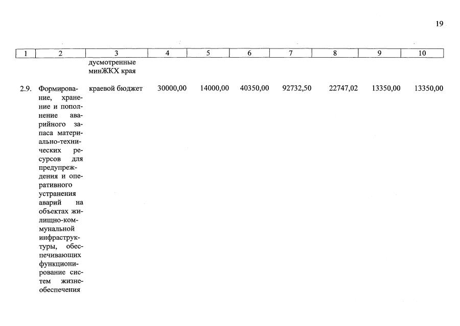
Постановление Правительства Ставропольского края от 26.12.2022 № 818-п
"О внесении изменений в государственную программу Ставропольского края "Развитие жилищно-коммунального хозяйства, защита населения и территории от чрезвычайных ситуаций", утвержденную постановлением Правительства Ставропольского края от 29 декабря 2018 г. № 627-п"
Номер опубликования: 2600202212290009
Дата опубликования: 29.12.2022
Страница №111 из 137:
Увеличить