Официальное опубликование правовых актов
ОФИЦИАЛЬНОЕ ОПУБЛИКОВАНИЕ
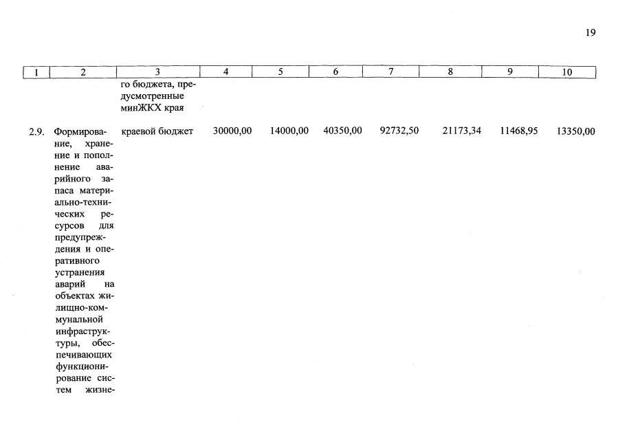
Постановление Правительства Ставропольского края от 02.03.2023 № 93-п
"О внесении изменений в государственную программу Ставропольского края "Развитие жилищно-коммунального хозяйства, защита населения и территории от чрезвычайных ситуаций", утвержденную постановлением Правительства Ставропольского края от 29 декабря 2018 г. № 627-п"
Номер опубликования: 2600202303100001
Дата опубликования: 10.03.2023
Страница №43 из 69:
Увеличить