Официальное опубликование правовых актов
ОФИЦИАЛЬНОЕ ОПУБЛИКОВАНИЕ
Постановление Правительства Ставропольского края от 30.03.2023 № 156-п
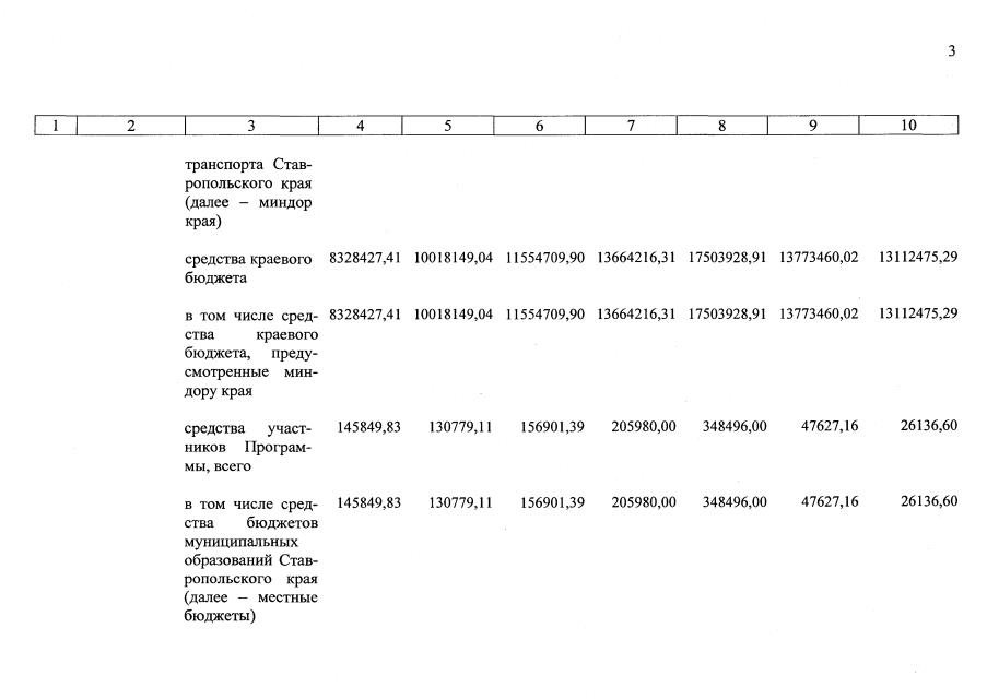
"О внесении изменений в государственную программу Ставропольского края "Развитие транспортной системы", утвержденную постановлением Правительства Ставропольского края от 29 декабря 2018 г. № 624-п"
Номер опубликования: 2600202303310006
Дата опубликования: 31.03.2023
Страница №17 из 36:
Увеличить