Официальное опубликование правовых актов
ОФИЦИАЛЬНОЕ ОПУБЛИКОВАНИЕ
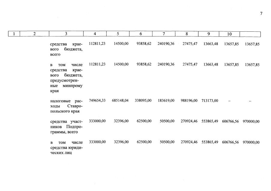
Постановление Правительства Ставропольского края от 31.03.2023 № 170-п
"О внесении изменений в государственную программу Ставропольского края "Развитие энергетики, промышленности и связи", утвержденную постановлением Правительства Ставропольского края от 28 декабря 2018 г. № 616-п"
Номер опубликования: 2600202304040002
Дата опубликования: 04.04.2023
Страница №74 из 109:
Увеличить