Официальное опубликование правовых актов
ОФИЦИАЛЬНОЕ ОПУБЛИКОВАНИЕ
Постановление Правительства Ставропольского края от 12.04.2023 № 204-п
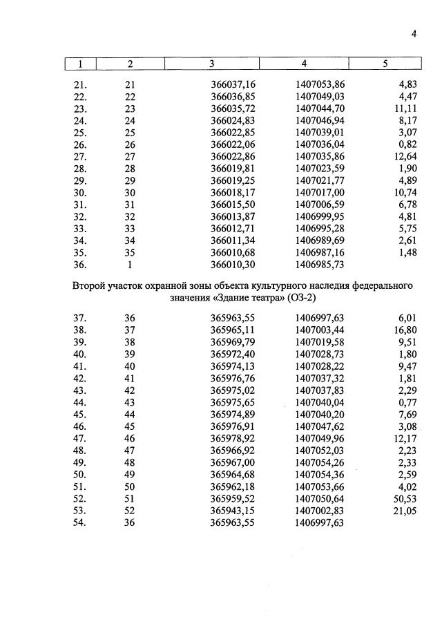
"Об установлении зон охраны объекта культурного наследия федерального значения "Здание театра, в котором в 1918 году под руководством Кирова Сергея Мироновича проходил Терский народный съезд, провозгласивший советскую власть в Терской области", расположенного по адресу: Ставропольский край, г.Пятигорск, пр-кт Советский, 19 (фактический адрес: Ставропольский край, г.Пятигорск, пр-кт Кирова, 17), и утверждении режимов использования земель и требований к градостроительным регламентам в границах территорий данных зон"
Номер опубликования: 2600202304170007
Дата опубликования: 17.04.2023
Страница №6 из 16:
Увеличить