Официальное опубликование правовых актов
ОФИЦИАЛЬНОЕ ОПУБЛИКОВАНИЕ
Постановление Правительства Ставропольского края от 21.09.2023 № 564-п
"Об установлении объединенной зоны охраны объектов культурного наследия исторической части города Железноводска и утверждении режимов использования земель и требований к градостроительным регламентам в границах территории данной зоны"
Номер опубликования: 2600202309250004
Дата опубликования: 25.09.2023
Страница №162 из 181:
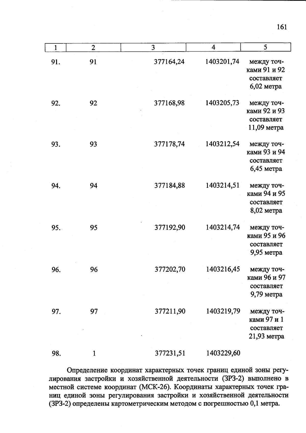
Увеличить