Официальное опубликование правовых актов
ОФИЦИАЛЬНОЕ ОПУБЛИКОВАНИЕ
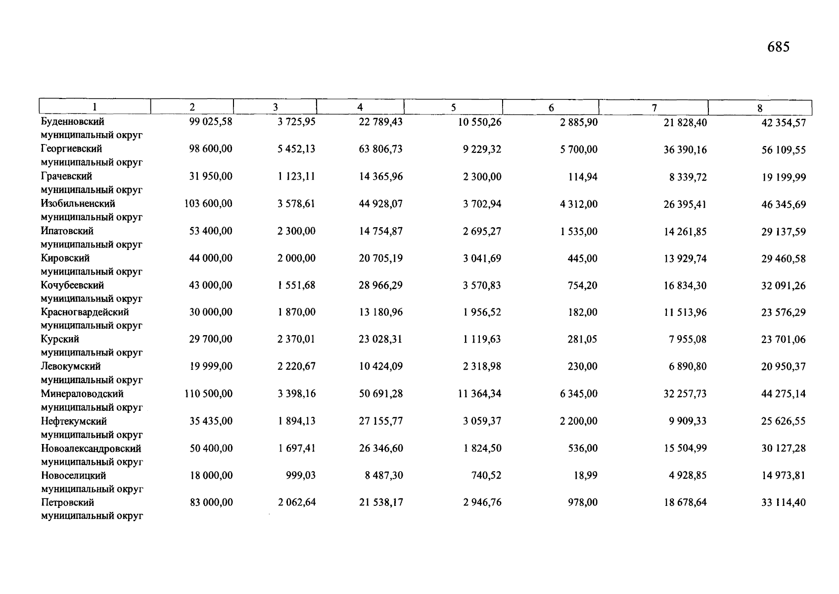
Закон Ставропольского края от 28.11.2025 № 104-кз
"О внесении изменений в Закон Ставропольского края "О бюджете Ставропольского края на 2025 год и плановый период 2026 и 2027 годов"
Номер опубликования: 2600202512010002
Дата опубликования: 01.12.2025
Страница №685 из 700:
Увеличить