Официальное опубликование правовых актов
ОФИЦИАЛЬНОЕ ОПУБЛИКОВАНИЕ
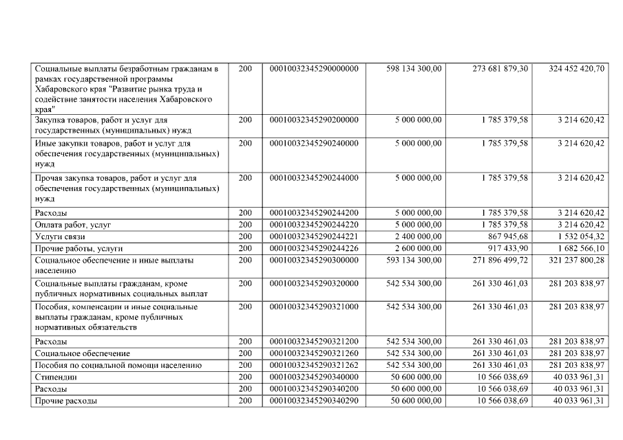
Постановление Правительства Хабаровского края от 26.11.2015 № 411-пр
"Об утверждении отчета об исполнении краевого бюджета за 9 месяцев 2015 года"
Номер опубликования: 2700201511300001
Дата опубликования: 30.11.2015
Страница №623 из 721:
Увеличить