Официальное опубликование правовых актов
ОФИЦИАЛЬНОЕ ОПУБЛИКОВАНИЕ
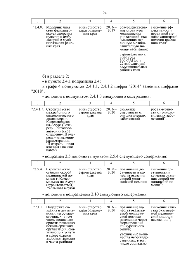
Постановление Правительства Хабаровского края от 28.12.2016 № 503-пр
"О внесении изменений в государственную программу Хабаровского края "Развитие здравоохранения Хабаровского края", утвержденную постановлением Правительства Хабаровского края от 22 октября 2013 г. № 350-пр"
Номер опубликования: 2700201701030003
Дата опубликования: 03.01.2017
Страница №24 из 83:
Увеличить