Официальное опубликование правовых актов
ОФИЦИАЛЬНОЕ ОПУБЛИКОВАНИЕ
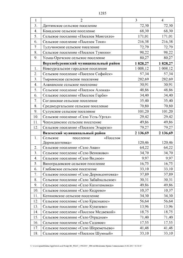
Закон Хабаровского края от 15.02.2017 № 245
"О внесении изменений в Закон Хабаровского края "О краевом бюджете на 2017 год и на плановый период 2018 и 2019 годов"
Номер опубликования: 2700201702170001
Дата опубликования: 17.02.2017
Страница №1285 из 1303:
Увеличить