Официальное опубликование правовых актов
ОФИЦИАЛЬНОЕ ОПУБЛИКОВАНИЕ
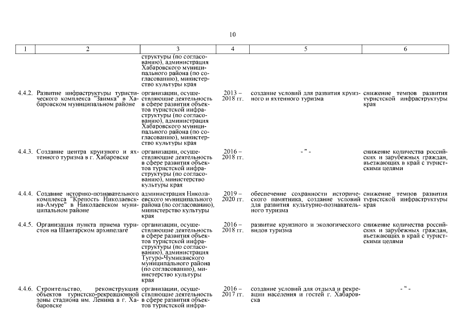
Постановление Правительства Хабаровского края от 29.03.2017 № 99-пр
"О внесении изменений в государственную программу Хабаровского края "Развитие внутреннего и въездного туризма в Хабаровском крае (2013 – 2020 годы)", утвержденную постановлением Правительства Хабаровского края от 26 июня 2012 г. № 211-пр"
Номер опубликования: 2700201703310001
Дата опубликования: 31.03.2017
Страница №12 из 27:
Увеличить