Официальное опубликование правовых актов
ОФИЦИАЛЬНОЕ ОПУБЛИКОВАНИЕ
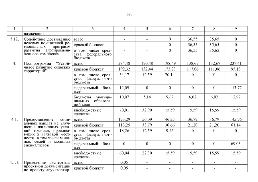
Постановление Правительства Хабаровского края от 30.03.2017 № 101-пр
"О внесении изменений в государственную программу Хабаровского края "Развитие сельского хозяйства и регулирование рынков сельскохозяйственной продукции, сырья и продовольствия в Хабаровском крае на 2013 – 2020 годы", утвержденную постановлением Правительства Хабаровского края от 17 августа 2012 г. № 277-пр"
Номер опубликования: 2700201704030002
Дата опубликования: 03.04.2017
Страница №174 из 197:
Увеличить