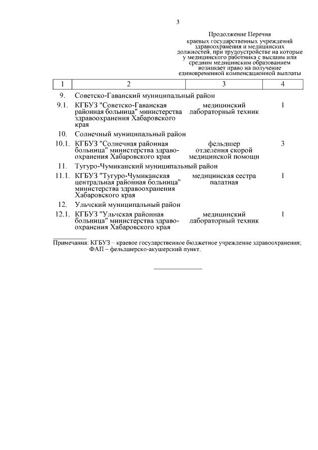
Постановление Правительства Хабаровского края от 04.05.2017 № 178-пр
"О единовременных компенсационных выплатах медицинским работникам в 2017 году"
"О единовременных компенсационных выплатах медицинским работникам в 2017 году"
Номер опубликования: 2700201705100005
Дата опубликования:
10.05.2017
