Официальное опубликование правовых актов
ОФИЦИАЛЬНОЕ ОПУБЛИКОВАНИЕ
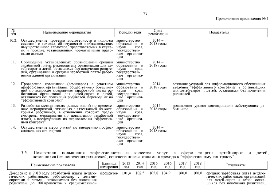
Распоряжение Правительства Хабаровского края от 14.06.2017 № 383-рп
"О внесении изменений в распоряжение Правительства Хабаровского края от 03 марта 2014 г. № 127-рп "Об утверждении Плана мероприятий ("дорожной карты") "Повышение эффективности и качества услуг образования в Хабаровском крае до 2018 года"
Номер опубликования: 2700201706160001
Дата опубликования: 16.06.2017
Страница №74 из 84:
Увеличить