Официальное опубликование правовых актов
ОФИЦИАЛЬНОЕ ОПУБЛИКОВАНИЕ
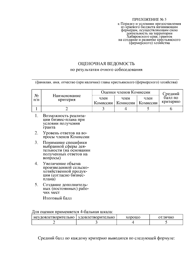
Постановление Правительства Хабаровского края от 11.07.2017 № 269-пр
"О порядке и об условиях предоставления отдельных мер краевой государственной поддержки, направленных на развитие малых форм хозяйствования в Хабаровском крае"
Номер опубликования: 2700201707120002
Дата опубликования: 12.07.2017
Страница №47 из 66:
Увеличить