Официальное опубликование правовых актов
ОФИЦИАЛЬНОЕ ОПУБЛИКОВАНИЕ
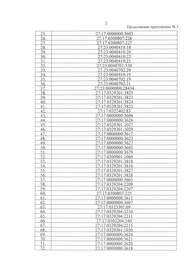
Постановление Правительства Хабаровского края от 21.08.2017 № 333-пр
"О внесении изменений в постановление Правительства Хабаровского края от 16 марта 2016 г. № 58-пр "О резервировании земель в городском округе "Город Хабаровск" и Хабаровском муниципальном районе Хабаровского края"
Номер опубликования: 2700201708250007
Дата опубликования: 25.08.2017
Страница №30 из 36:
Увеличить