Официальное опубликование правовых актов
ОФИЦИАЛЬНОЕ ОПУБЛИКОВАНИЕ
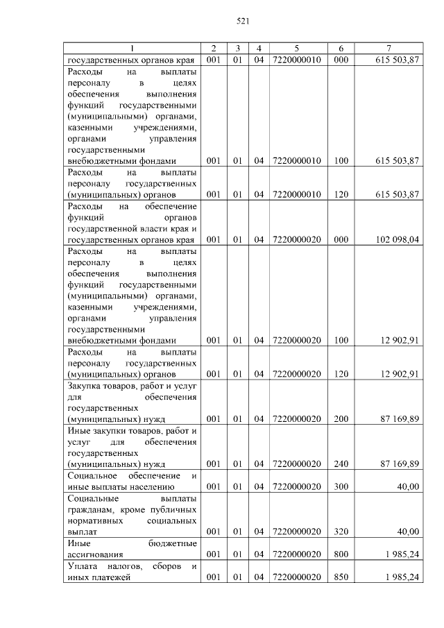
Закон Хабаровского края от 25.10.2017 № 287
"О внесении изменений в Закон Хабаровского края "О краевом бюджете на 2017 год и на плановый период 2018 и 2019 годов"
Номер опубликования: 2700201711010008
Дата опубликования: 01.11.2017
Страница №521 из 1537:
Увеличить