Официальное опубликование правовых актов
ОФИЦИАЛЬНОЕ ОПУБЛИКОВАНИЕ
Постановление Правительства Хабаровского края от 28.12.2017 № 539-пр
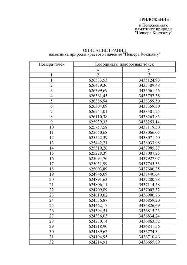
"Об организации памятников природы краевого значения "Пещера Кокдзяму" и "Местообитание бабочки-голубянки" в Хабаровском крае"
Номер опубликования: 2700201801040014
Дата опубликования: 04.01.2018
Страница №5 из 11:
Увеличить