Официальное опубликование правовых актов
ОФИЦИАЛЬНОЕ ОПУБЛИКОВАНИЕ
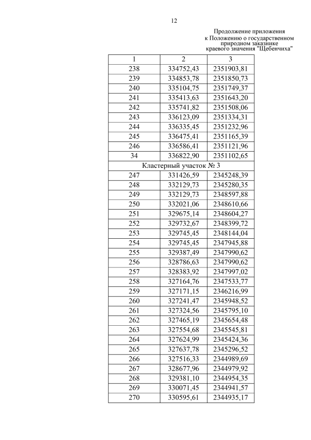
Постановление Правительства Хабаровского края от 12.11.2018 № 409-пр
"Об образовании государственного природного заказника краевого значения "Щебенчиха" в Вяземском муниципальном районе Хабаровского края"
Номер опубликования: 2700201811130011
Дата опубликования: 13.11.2018
Страница №17 из 18:
Увеличить