Официальное опубликование правовых актов
ОФИЦИАЛЬНОЕ ОПУБЛИКОВАНИЕ
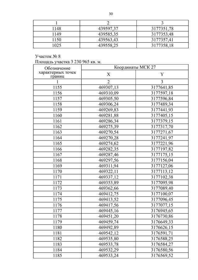
Постановление Правительства Хабаровского края от 29.12.2018 № 513-пр
"Об установлении границ лесопаркового зеленого пояса города Хабаровска"
Номер опубликования: 2700201901040005
Дата опубликования: 04.01.2019
Страница №31 из 72:
Увеличить