Официальное опубликование правовых актов
ОФИЦИАЛЬНОЕ ОПУБЛИКОВАНИЕ
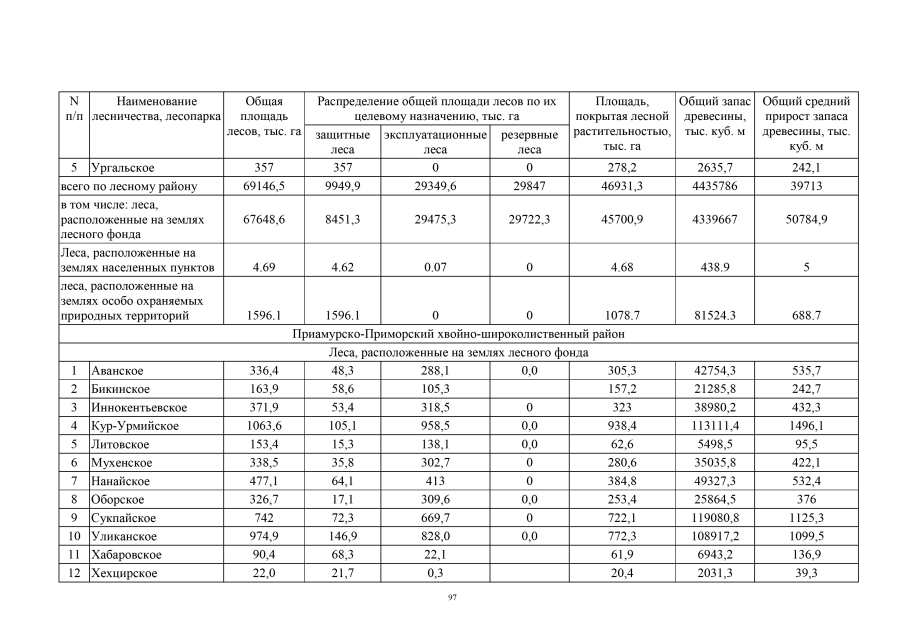
Постановление Губернатора Хабаровского края от 31.01.2019 № 5
"Об утверждении лесного плана Хабаровского края на 2019 – 2028 годы"
Номер опубликования: 2700201902050001
Дата опубликования: 05.02.2019
Страница №98 из 262:
Увеличить