Официальное опубликование правовых актов
ОФИЦИАЛЬНОЕ ОПУБЛИКОВАНИЕ
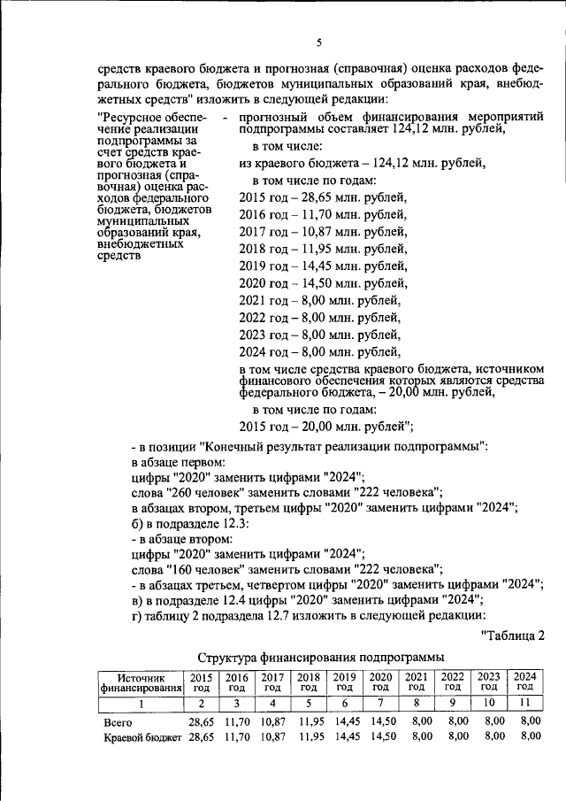
Постановление Правительства Хабаровского края от 04.02.2019 № 22-пр
"О внесении изменений в государственную программу Хабаровского края "Инновационное развитие и модернизация экономики Хабаровского края", утвержденную постановлением Правительства Хабаровского края от 26 июня 2012 г. № 212-пр"
Номер опубликования: 2700201902080001
Дата опубликования: 08.02.2019
Страница №5 из 68:
Увеличить