Официальное опубликование правовых актов
ОФИЦИАЛЬНОЕ ОПУБЛИКОВАНИЕ
Постановление Правительства Хабаровского края от 16.02.2026 № 41-пр
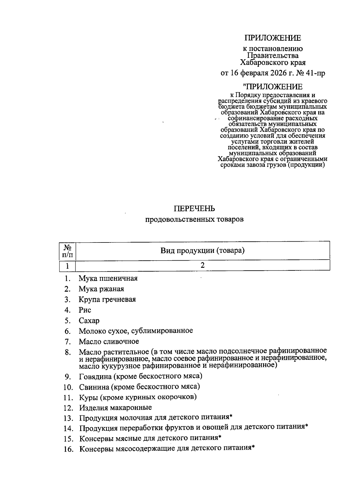
"О внесении изменений в государственную программу Хабаровского края "Развитие потребительского рынка в Хабаровском крае", утвержденную постановлением Правительства Хабаровского края от 29 декабря 2022 г. № 722-пр "Об утверждении государственной программы Хабаровского края "Развитие потребительского рынка в Хабаровском крае" и о признании утратившими силу отдельных постановлений Правительства Хабаровского края"
Номер опубликования: 2700202602160001
Дата опубликования: 16.02.2026
Страница №6 из 7:
Увеличить