Официальное опубликование правовых актов
ОФИЦИАЛЬНОЕ ОПУБЛИКОВАНИЕ
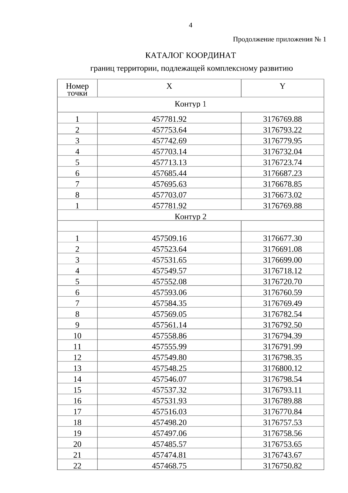
Распоряжение Правительства Хабаровского края от 27.02.2026 № 95-рп
"О комплексном развитии территории жилой застройки в границах ул. Знаменщикова – ул. Красноармейской – ул. Запарина – ул. Морозова Павла Леонтьевича в Кировском и Индустриальном районах городского округа "Город Хабаровск"
Номер опубликования: 2700202603040001
Дата опубликования: 04.03.2026
Страница №7 из 24:
Увеличить